์๋ ํ์ธ์.
MQ์๋ฆฌ์ฆ ๋ ๋ฒ์งธ ๊ธ์ ์์ฑํฉ๋๋ค.
ํ์คํ ๊ธ์ ๋ฐ๋ก ๋ฐ๋ก ์์ฑํ๋ ๊ฒ์ด ์ค์ํ ๊ฒ ๊ฐ์ต๋๋ค. ๊ธ์ ์ฐ๋ ค๊ณ ๋ณด๋ ๊ธฐ์ต์ด ์ ๋์ ๋ค์ ์๋ก ๊ณต๋ถํ์ต๋๋ค.
์ ๋ฒ ๊ธ์ ์๋์ด๋ ธ ๋ผ์ด๋ธ๋ฌ๋ฆฌ๋ฅผ ์ด์ฉํ์ฌ ๋จ์ํ PPM์ ๊ตฌํ์๋ค๋ฉด, ์ค๋์ ์กฐ๊ธ ๋ ์์ธํ ํ๋ก๋ฅผ ํตํด ์ข ๋ MQ ์๋ฆฌ์ฆ์ ์นํด์ง๋ ๊ฒ์ด ๋ชฉ์ ์ ๋๋ค.
[์๋์ด๋ ธ] MQ ์๋ฆฌ์ฆ ๊ณต๊ธฐ์ง ์ผ์ PPM์ผ๋ก ๋ณํํ๊ธฐ! (1) Feat. MQ2, MQ3, MQ4, MQ5, MQ6, MQ7, MQ8, MQ9, MG-811
์๋ ํ์ธ์. ์ฝ ๋ ๋ฌ๋ง์ ๊ธ์ ์๋๋ค. ๊ณต๋ชจ์ ๊ณผ ๊ธฐ์ฌ ์ํ์ ์ง์ฅ์ ๋ค๋ก ์ ์ ์ฌ์ ๊ฐ ์๊ฒจ ์๊ฐ์ ๋ ๋๋ค. ์ค๋์ MQ ์๋ฆฌ์ฆ์์ ๊ณต๊ธฐ์ง ์ผ์๋ฅผ PPM์ผ๋ก ๋ณํํ๋ ๋ฐฉ๋ฒ์ ๋ํด ๊ธ์ ์ฐ๊ฒ ์ต๋
coding-yoon.tistory.com
MQ Series Schematic ๋ฅผ ๊ตฌ๊ธ๋ง ํ๋ฉด ๊ต์ฅํ ๋ง์ ํ๋ก๋๊ฐ ๋์ต๋๋ค.
๊ทธ์ค ๊ฐ์ฅ ์ง๊ด์ ์ธ ํ๋ก๋๋ฅผ ๊ฐ์ ธ์์ต๋๋ค.

์ด๋ ค์ด ํ๋ก๋๊ฐ ์๋๊ธฐ ๋๋ฌธ์ ํธํ๊ฒ ๋ณด์๋ฉด ๋ ๊ฒ ๊ฐ์ต๋๋ค.
Heater๊ฐ ํ๋ก์ ์์ต๋๋ค. MQ ์๋ฆฌ๋ Heater๋ฅผ ํตํด ๊ธฐ์ฒด๋ฅผ ํ์ด ๋ฐ์์ผ๋ก ์ธก์ ์ ํ๋ ๋ฐฉ๋ฒ์ ๋๋ค.
์ผ์๊ฐ ์ด๋ ์ ๋ ๊ฐ์ด์ด ๋ผ์ผ ์ผ์ ๊ฐ์ ์ ๋ขฐ๋๊ฐ ๋์์ง๋ฏ๋ก ์ค๋ด์ฉ ๊ณต๊ธฐ ์ผ์๋ก ๋ง์ด ์๋ ค์ ธ ์์ต๋๋ค.
(์ด๋ฐ ์ผ์๋ฅผ ๊ฐ์ง๊ณ ๋๋ก ์ ๋ฌ์์ผ๋...)
์ด ํ๋ก๋ฅผ ์ฝ๊ฒ ์ฝ์ ์ ์๊ฒ ๋ค๋ฅด๊ฒ ๊ทธ๋ฆฌ๊ฒ ์ต๋๋ค.

์ด๋ ๊ฒ ํํํ๋ฉด ์ ์ํ๋ก๋ฅผ ํ ๋ฒ์ด๋ผ๋ ๋ค์ ์ฌ๋์ด๋ผ๋ฉด ๋ง์ด ๋ณธ ํ๋ก์ ๋๋ค.
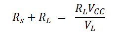
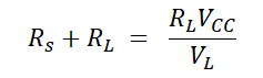
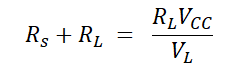
์ ์ ๋ถ๋ฐฐ ๋ฒ์น์ ์ด์ฉํด์ Vout์ ๊ตฌํ ์ ์์ต๋๋ค.
1. Vcc๋ ์๋์ด๋ ธ์์ ์ธ๊ฐํ ์ ์
2. Rs๋ ์ผ์ ์ ํญ์ผ๋ก ๊ณต๊ธฐ์ง์ ๋ํ ์ผ์ ์ ํญ
3. RL์ ์๋์ ๊ฐ์ด ๊ฐ๋์กฐ์ ์ด๋ผ๊ณ ์ญ์ ๋๋ผ์ด๋ฒ๋ก ๋๋ฆฌ๋ ๊ณณ์ด ์์ต๋๋ค. ( ์ต๋๋ก ๋๋ฆฌ๋ฉด 10Ω )

โ Rs ๊ตฌํ๊ธฐ




โก Ratio ๊ตฌํ๊ธฐ ( 1ํธ์ ๋ณด์๋ฉด ์ฝ๊ฒ ์ ์ ์์ต๋๋ค. )
๏ผRs = ์ผ์์ ํญ
๏ผRo = ์นผ๋ฆฌ๋ธ๋ ์ด์ ์ ํญ
โข PPM ๊ตฌํ๊ธฐ
// a, b ๋ ์์
Result = a * ratio ^ b[ppm]
์ด๋ฐ ์์๋ก ๋ณด์๋ฉด์ ๊ด์ฐฎ์ ๊ฒ ๊ฐ์ต๋๋ค.