안녕하세요.
Bluetooth Low Energy를 이용해 실내 측위에 대해 알아보겠습니다.
실내에 iBeacon 4개가 설치되어 있습니다.

iBeacon는 Advertise의 Payload가 30bytes입니다. (일반 ble는 31bytes)
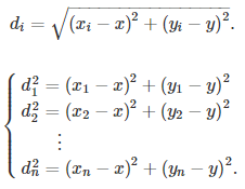
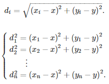
Payload에는 Tx Power(송신 세기 : dBm), RSSI(수신 세기 : dBm)이 있습니다.
Tx Power와 RSSI가 있으면 Advertise와 Scanner 사이의 Distance를 구할 수 있습니다.
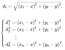
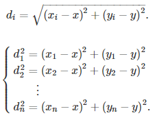
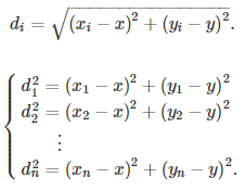
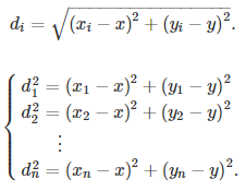
Distance[m] = 10 ^ ( (Tx Power – RSSI) / (10 * N) )
(N = 보정 상수)
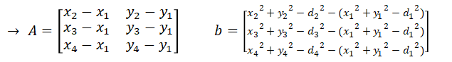
최소 세 개 정도의 Distance를 구할 수 있다면, 실내 좌표를 구할 수 있다는 것이 Trilateration(삼변 측량)입니다.


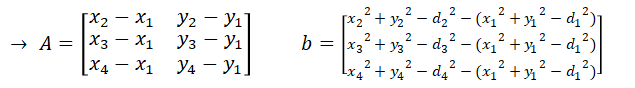
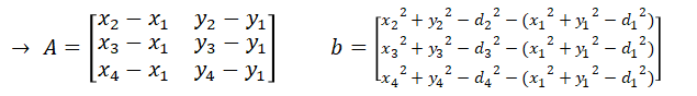
위 식을 정리하여, 선형대수로 아래처럼 정리할 수 있습니다.



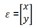
x, y 좌표는 고정 값이며, distance는 ble의 신호 세기를 통해 distance를 구했기 때문에 ϵ를 구할 수 있습니다.
하지만 Height에 대해 고려하지 않았고, 무선 신호 세기가 불안전하기 때문에 오차 범위가 큽니다.
이에 해당하여 Weight를 주는 방식도 있지만, 정확한 위치를 구하기 위해선 공부가 더 필요합니다.
2022년 7월 업데이트 내용하였으니 참고바람.
https://coding-yoon.tistory.com/201
[BLE 실내 측위 프로젝트] 10. 삼변측량 정리 및 구현
목차 1. flutter_blue_plus 설치 및 설정 : https://coding-yoon.tistory.com/191 2. BLE 통신 스케줄 및 안드로이드 동작 : https://coding-yoon.tistory.com/192 3. Flutter BLE Scan Demo Program : h..
coding-yoon.tistory.com
'통신' 카테고리의 다른 글
| [통신] AVR-ATMega128A Bluetooth 통신(1) (1) | 2021.06.16 |
|---|---|
| [무선 통신] UWB LOS/NLOS Classification Using Deep Learning Method (1) (1) | 2021.03.09 |
| [무선 통신] Dependency between RSSI and Distance - BLE (1) | 2021.03.03 |
| [무선 통신] Bluetooth Low Energy(BLE) 1. Physical Layer (0) | 2021.02.27 |