1. T1 반송시스템을 통하여 음성신호를 PCM으로 전송할 때 다음에 대하여 설명하시오.
PCM : 아날로그 정보를 디지털 펄스코드로 바꾸어 전송하고 다시 아날로그 정보로 되돌리는 방식
표본화 : 대역 제한된 아날로그 입력신호를 입력신호의 최고주파수의 2배 이상의 주파수로 샘플링(샤논의 정리)하여 PAM 신호를 얻는 과정
양자화 : 표본화된 PAM 신호를 가장 가까운 이산적인 양자화레벨에 근사화시키는 과정
부호화 : 양자화된 레벨 값을 1과 0의 펄스열로 변환하는 과정
다중화 : 각 채널의 신호를 하나의 고속채널에 많은 량의 동시에 전송할 수 있는 기술(TDMA, FDMA, CDMA, W-CDMA)
나이퀴스트 정리 : fs = 2fm
샤논의 정리 : fs >= 2fm (aliasing(표본화 오차)를 방지하기 위함)
2. 디지털 중계기에는 아날로그 중계기에 없는 재생 기능이 있다. 기능 3가지를 적으시오.
Reshaping, Regeneration, Retiming
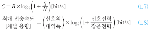
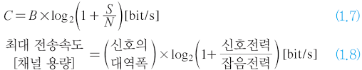
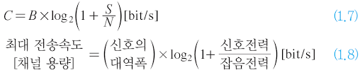
3. 샤논의 정리를 통한 채널 용량을 구하는 공식을 정의하시오.

4. 나이키스트 정리를 통한 채널 용량을 구하는 공식을 정의하시오.

5. 토폴로지에 따른 분류 5가지를 기술하시오.
성형, 트리형, 망형, 링형, 버스형
6. 패킷교환방식의 종류에는 가상회선, 데이터그램 방식 2가지가 있다. 이를 기술하시오.
가상회선방식이란 송신노드와 수신노드 간에 데이터를 전달하기 위하여 사용자가 호 요청을 하면 노드 간에 연결하는 전용 통신로인 가상회선이 설립된다. 가상회선이 설립되면 해당호가 종료될 때까지 선택된 경로만을 따라 패킷 전송이 이루어지고, 모든 패킷 전송이 종료되면 가상회선은 종료되는 방식이다.
데이터그램방식은 송신노드와 수신 노드 간에 데이터를 전달하기 위하여 패킷 스위치는 현 상태의 패킷 전송 부하에 따라서 패킷의 경로를 동적으로 설정하고, 일련의 데이터를 패킷 단위로 분할하여 전송하고, 목적지 노드에서는 패킷의 재순서화 조립 과정이 필요한 방식이다. 왜냐하면, 각각의 패킷은 스위치마다 최선의 경로를 선택하므로 패킷의 도착순서가 바뀔 수 있다.
'메모장' 카테고리의 다른 글
| 태양광 발전 테스트 (0) | 2023.05.21 |
|---|---|
| vim 해당 라인 삭제 (1) | 2023.04.03 |
| [메모장] 윈도우 탐색기 바로가기(즐겨찾기) 초기화 (0) | 2022.02.13 |
| [Git] 명령어 총정리 (0) | 2022.02.02 |
| [메모] Microsoft Project & VISIO 2016, 2019 정품 인증 (내 PC 지키미 때문에 화난 사람을 위해...) , 별도 프로그램 설치 X (0) | 2021.11.13 |